1.答案: C
解析:
原式=(29×10101)÷(16×10101)×112=29÷16×112=29×(112÷16)=29×7=203,故正确答案为C。
2.答案: A
解析:
9年前全家年龄为49岁,而今年全家年龄为74岁每个人长9岁,49+27=76说明9年前小强未出生,小强的爸爸比小强妈妈大3岁,则妈妈9年前为23岁,今年32岁。因此,本题答案为A。
3.答案: B
解析:
分数位依次安排,倒数第二个数字是非6偶数,有4种可能;倒数第三个数字是不与倒数第二个数字重复的偶数,也有4种可能,因此总的可能情况有4×4=16(种)。故正确答案为B。
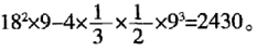
4.答案: B
解析:
这个容器相当于一个底边长为18,高为9的长方体削去四角,如图所示。

体积为
5.答案: B
解析:
要使积最大,需将17拆成若干个3与2的和的形式,且2的个数要尽可能的少,17=3+3+3+3+3+2,积最大为
,故选择B。



