【导语】 公益性岗位考试内容中,行测是大多数公告会考的科目,中公公益性岗位考试网为大家整理了公益性岗位备考技巧,公益性岗位行测模拟题等复习资料,帮助考生顺利备考公益性岗位行测考试。
在行测考试的资料分析中,常常会出现一种题目让我们来比较两个式子的大小,比如两个分式比较大小,如:
,这个时候我们许多考生采取的措施往往是直接去求得两个式子的结果,进而比较出两者的大小。但是,在我们时间就是分数的行测考场上,我们这么简单粗暴真的就是最佳的方法吗?实则不然,在这里想跟大家交流的就是一种思想“能看不要算”,意思就是说,我们在比较大小的时候可以先去观察两者的大小,若能观察出谁大谁小,那就无需动笔去计算。那么,到底该如何去观察呢?下面中公教育通过几个例题一起来看一下:

首先我们来看一下(1),我们不难发现这道题目中的两个分式,右面的分式分子比左面的大,但是分母却比左面的小,所以很直白,可以看得出右面的分数值是大于左面的,所以像这种“大分子,小分母”的分式分数值是要大一些的。接着大家可以看一下(2),尽管这一组分式我们不能直观看出谁是大分子小分母,但是我们不难发现右面分式的分子分母都是左面分式的两倍左右,因此我们可以先将左面分式分子分母同时扩大两倍,然后我们就可以直观看出,左面分式的分子大于右面分式的分子,分母小于右面分式的分母,因此属于“大分子,小分母”的形式,所以左面大于右面。
当然,题目中不一定给我们的是这么直观得比较大小,有可能是以下两种形式得分式让我们来比较大小:

上面的这两个例题发现并不能直接横向比较分子分母得大小,进而找到“大分子,小分母”来比较分数值的大小。这个时候我们可以纵向来进行观察,一般情况下,若两个分式的分子都大于分母,我们可以从上向下观察,即从分子向分母做除法,观察商的首位,也就是我们常说的首数法。比如(1),我们横向比较,无法得出答案,我们纵向观察首数,发现左边分式商的首数为8,而右边分式为7,因此,左边分式大一些;若两个分式的分母都大于分子,这个时候我们可以从下往上观察,即从下往上做除法观察首数,当然,这时候的首数,得到的是分母,分子为1,如(2)中,左面的式子,从下往上观察可以写成
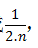
而右边的分式则可以写成
因而可以得到,右边大于左面分式。以上便是我们通过观察的方式来比较分式的大小,大家学会了吗?
相关推荐:公益性岗位考试内容-行测:比较大小
更多推荐:2020年公益性岗位行测模拟题
更多公益性岗位考试信息请点击查看:中公公益性岗位考试网,了解公益性岗位是什么、公益性岗位招聘公告和公益性岗位工资待遇。

