【导语】公益性岗位考试中,行测是大多数公告会考的科目,中公公益性岗位考试网为大家整理了公益性岗位行测技巧,行测备考,公益性岗位行测模拟题等复习资料,帮助考生顺利备考公益性岗位行测考试。

【行测练习题】
1、现由甲、乙、丙三人完成一项工程,如果由甲、乙两人合作,需要12小时完成;如果由乙、丙两人合作,需要10小时完成;如果甲、乙、丙三人合作,需要6小时才能完成,则这项工程如果全部由甲单独完成,所需小时数为:
A.15 B.18 C.20 D.25
2、甲、乙两人进行乒乓球比赛,比赛规则为3局2胜,即以先赢2局者为胜,根据经验,每局比赛中甲获胜的概率为0.6,则本次比赛中甲以2∶1的比分获胜的概率为:
A.0.288 B.0.144 C.0.432 D.0.648
3、按照中国篮球职业联赛的规则,各篮球队队员的号码可以选择的范围是0-55号,但选择两位数的号码时,每位数字不得超过5。那么,可供每支球队选择的号码共有多少个?
A.30 B.34 C.36 D.40
【参考答案与解析】
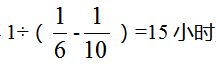
1.【答案】A。中公解析:由题意知,甲、乙、丙三人合作需6小时完成,乙丙两人合作需10小时完成,则甲单独工作需要

完成。
2.【答案】A。 中公解析:根据多次独立重复试验公式可得,

,选A。
3.【答案】D。中公解析:十位和个位数字都可选择数字0、1、2、3、4、5(其中十位为0时,个位数字即为代表的号码),还可以选择6、7、8、9号,所以每支球队选择的号码共有6×6+4=40个。
更多公益性岗位考试信息请点击查看:中公公益性岗位考试网,了解公益性岗位考试时间、公益性岗位招考公告和公益性岗位考试试题。

