【导语】公益性岗位考试内容中,行测是大多数公告会考的科目,中公公益性岗位考试网为大家整理了公益性岗位备考技巧,公益性岗位行测模拟题等复习资料,帮助考生顺利备考公益性岗位行测考试。
而行测作为省考中的重要一环,无疑需要花费大量时间来练习,其中,行程问题在行测中出现频率较高,可谓数量关系中的宠儿,但由于本身难度较大,却是大多数考生的弃子。为了让行程问题不再是大家的软肋,中公教育带大家一起学习下其中的一个技巧——公式巧解行程问题。
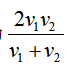
既然是用公式解题,那么,我们今天涉及的公式是什么呢?就是行程问题中经常会用到平均速度的公式,即如果两段路程相等,则这两段路程的平均速度为

如下面这道例题:
【例1】从甲地到乙地111千米。

A.19千米/时 B.20千米/时 C.21千米/时 D.22千米/时

对比上述两个方法不难发现,第一个方法计算复杂不容易求解,第二个方法便显得容易许多,可以加快做题速度。我们再通过下面一道题巩固一下:【


通过中公教育上述对题目的分析可知,平均速度公式的应用,须符合一个前提条件——路程相等。因此,我们要谨记这个前提条件并熟记公式,以后再遇到类似的行程问题就可以利用这个方法解题。
相关推荐:2019公益性岗位考试内容-行测:搞定主旨观点题之总分文段
更多公益性岗位考试信息请点击查看:中公公益性岗位考试网,了解公益性岗位是什么、公益性岗位招聘公告和公益性岗位工资待遇。

