【导语】公益性岗位考试中,行测是大多数公告会考的科目,中公公益性岗位考试网为大家整理了公益性岗位行测技巧,行测备考,公益性岗位行测模拟题等复习资料,帮助考生顺利备考公益性岗位行测考试。

数量关系一直都是考生们的难点,时间不够,题目难度大,大部分学员选择战略性放弃,但我们都知道,如今公考竞争压力之大,完全放弃数量关系想要考得好成绩是非常困难的。所以我们仍然需要掌握一部分题型,排列组合,概率问题等较难的题型有些文科学员学起来很吃力。但其实我们研究历年试题可以发现,每年都有很多题目都可以用最传统的方法我们从小学开始就会的方法——方程法求解出来。接下来,我们一起来回忆一下方程法。
首先我们来看一下设未知数的技巧。设未知数的时候我们通常是问什么设什么,今天我们讲一个小小的设未知数的技巧,就是当题目当中存在比例关系的时候,我们可以按照比例系数设未知数。
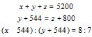
例:甲,乙,丙三个蔬菜基地共存放了5200吨蔬菜。如果从甲基地运出544吨放到乙基地后,乙基地的蔬菜比丙基地多800吨,且此时,甲、乙基地的蔬菜重量比为7:4。则甲基地原有蔬菜的吨数为多少?
A.1344 B.2800 C.3344 D.4768
【答案】C。
【解析】:很多学生一拿到题目就会问什么设什么,将甲基地的蔬菜设为x,乙基地为y丙基地为z,那么根据题目的描述我们可以很快列出等量关系
接着我们看看构造等量关系的方法,通常我们根据题目中出现特殊词句,比…多;比…少;与…相等;是…的几倍等我们可以直接构造等量关系。或者通过固定公式构造等量关系。
例:小李四年前投资的一套商品房价格上涨了50%,由于担心房价下跌,他将该商品房按市价的9折出售,扣除成交价5%的相关交易费用后,比买进时赚了56.5万元。那么,小李买进该商品房时花了多少万元?
A.200 B.250 C.300 D.350
【答案】A。
【解析】:这是一个利润问题,根据利润=售价-成本,我们设成本为x,则可以得到(1+50%)x×0.9×0.95-x=56.5万元,算出x=200万元。这个方程解起来是很容易的,但是还是要提醒广大考生朋友,一定要细心,争取一次性计算出正确结果。
通过这两个题目我们回忆了方程法这个最基本的方法,还是可以解决很多题目的,所以数量关系我们不求全部掌握,但是这类简单的题目我们一定不能丢分。方程法相对来说还是很好掌握的,只要题目中出现了明显的等量关系几乎都可以用方程思想进行求解,那么大家下来后还要继续练习快速设未知数、快速列式的能力。
相关推荐:公益性岗位行测备考:不定方程的解法
更多公益性岗位考试信息请点击查看:中公公益性岗位考试网,了解公益性岗位考试时间、公益性岗位招考公告和公益性岗位考试试题。

